中低收入群體流向何處
發稿時間:2019-10-10 15:27:47 來源:新浪·意見領袖 作者:李迅雷
過去我國人口流向總體(ti) 是從(cong) 西往東(dong) ,而且主要流向長三角和珠三角地區,被稱之為(wei) “孔雀東(dong) 南飛”。從(cong) “常住人口”角度來看,“東(dong) 進”和“南下”的態勢仍然相對明顯。例如2018年廣東(dong) 、浙江、安徽、重慶、四川,均呈現出了常住人口淨流入的跡象。不可否認,常住人口的流向,能夠反映很多問題,例如經濟實力的分化、產(chan) 業(ye) 結構的升級。但除此之外,本文把視角進一步往下延伸,試圖用各地彩票銷售、居民收入結構和用電量變化等數據來探討中低收入群體(ti) 的流向狀況。當然,常住人口與(yu) 中低收入群體(ti) 的統計口徑存在明顯差異。
孔雀往南飛?農(nong) 民工演繹“孔雀西南飛”
一提到中低收入群體(ti) ,首先的印象就是農(nong) 民工。根據國家統計局每年發布的《農(nong) 民工監測調查報告》,農(nong) 民工的流向已經發生了巨大變化,農(nong) 民工的增量部分主要流向中部和西部地區。例如2018年東(dong) 部地區的農(nong) 民工數量減少185萬(wan) 人,東(dong) 北地區農(nong) 民工數量減少9萬(wan) ,而中西部地區則增加378萬(wan) ,呈現“孔雀西南飛”的特征。
常住人口淨流入數量(省級層麵)

資料來源:WIND,各省市統計公報,中泰證券研究所
注:部分省份數據缺失
中部與(yu) 西部農(nong) 民工就業(ye) 人數

資料來源:國家統計局,中泰證券研究所
由於(yu) 農(nong) 民工的數據是每年隻公布一次,而且在劃分成了東(dong) 、中、西和東(dong) 北四大區域,劃分相對粗略,難以描繪更加細致的流向。因此,以下嚐試利用彩票銷售、用電量變化等間接數據來刻畫。
彩票銷售增速回落的主因是收入回落?
9月28日,財政部公布8月份彩票銷售數據,並不令人意外,8月單月全國共銷售彩票340.81億(yi) 元,較上年同期減少77.35億(yi) 元,同比下降18.5%。兩(liang) 類彩票同步下降,其中福利彩票銷售146.1億(yi) 元,較去年同期減少31.78億(yi) 元,同比下降17.9%;體(ti) 育彩票銷售194.76億(yi) 元,較去年同期減少45.57億(yi) 元,同比下降19.0%。
8月彩票銷售增速回落並不是個(ge) 例,從(cong) 2019年2月開始,彩票銷售同比增速連續7個(ge) 月同比負增長。導致彩票增速連續回落的因素可能有兩(liang) 個(ge) ,一方麵是短期的政策擾動,例如政府部門加大打擊違規銷售互聯網彩票的力度;嚴(yan) 禁開展即開型彩票規模銷售等措施。另一方麵,或許與(yu) 低收入群體(ti) 收入水平進一步回落相關(guan) 。
但值得注意的是,如果把澳門博彩毛收入與(yu) 彩票銷售增速進行比較,則會(hui) 發現比較有意思的現象。如果說前往澳門參加博彩的人群可能集中在中高收入階層的話,大陸地區購買(mai) 彩票的主要群體(ti) 或許集中在中低收入階層上。
從(cong) 曆史上看,澳門博彩增速的拐點往往要提前於(yu) 大陸彩票銷售增速,這反映了在經濟回落或複蘇的節點上,高收入群體(ti) 往往要較中低收入群體(ti) 更加敏感。但從(cong) 2019年以來彩票銷售增速的“斷崖式”回落,則與(yu) 前期的走勢出現了明顯差異,這反映了本輪彩票增速回落的主要因素是政策擾動,而非中低收入群體(ti) 收入增速的回落。
澳門博彩收入增速拐點領先大陸彩票銷售增速拐點

資料來源:WIND,中泰證券研究所
當然,中低收入群體(ti) 收入增速的回落,盡管並非主要因素,但也在一定程度上壓製了彩票銷售增速。國內(nei) 已有相關(guan) 實證研究,表明中低收入群體(ti) 是購買(mai) 彩票的主要人群,彩票支出與(yu) 收入的關(guan) 係呈“倒U型”。
例如,有學者對超過800名福利彩票購買(mai) 者進行調查發現,福彩消費者的收入結構呈現明顯的兩(liang) 頭小、中間大的狀態,符合“倒U形”特征,其中月收入在1001-1500元區間的彩民比重最大,達到33.6%,排在第二的是月收入在801-1000元區間的彩民,所占比例為(wei) 21%,月收入在501-800元區間的彩民所占比例為(wei) 12%,以上三種中低收入者所占比例達到了67.2%。
而低收入群體(ti) 購買(mai) 力有限,對於(yu) 彩票的投入較少;高收入群體(ti) 生活富裕,對於(yu) 參與(yu) 彩票活動的積極性明顯偏弱。根據國家統計局公布的五檔收入群體(ti) 的收入增速,可以很清晰的發現,2018年中低收入群體(ti) 的增速隻有4%,明顯低於(yu) 全國平均水平,且逐年走低,這必然會(hui) 對彩票銷售增速形成一定的壓製。
中低收入群體(ti) 收入同比增速連續走低

資料來源:WIND,中泰證券研究所
四川彩票銷售異常高增:第一輪篩選
盡管彩票銷售的全國數據出現了明顯負增長,但如果往下一層,或許能得到有意思的結論。8月份,全國隻有四川省彩票銷量出現增長,同比增加0.76億(yi) 元,1-8月累計,同比增加12.17億(yi) 元。四川彩票銷售增速與(yu) 全國數據形成明顯反差,如2019年前5個(ge) 月,在全國數據明顯下降的同時,四川單月增速保持在20%左右的高增速,盡管6月、7月出現了同比負增長,但8月又恢複了正增長,同比增長5.2%。
變化較為(wei) 異常的,並不僅(jin) 僅(jin) 是四川一個(ge) 省。按照基本的邏輯,由於(yu) 中低收入群體(ti) 是購買(mai) 彩票的主流人群,當全體(ti) 居民人均收入越高,並且對中低收入群體(ti) 的分配越傾(qing) 斜時,會(hui) 對彩票銷售增速形成越大的帶動作用。而當二者出現明顯異常時,則可以從(cong) 人口結構或分配結構中尋找原因:
(1)當全體(ti) 居民人均收入增速走高,但彩票銷售增速走低,兩(liang) 種可能,一是中低收入群體(ti) 的數量在減少,二是收入向中低收入群體(ti) 傾(qing) 斜的力度降低,但總而言之,是中低收入群體(ti) 的獲得減少。
(2)當全體(ti) 居民人均收入增速走低,但彩票銷售增速走高,兩(liang) 種可能,一是中低收入群體(ti) 的數量在增加,二是收入向中低收入群體(ti) 的傾(qing) 斜力度加大,但總而言之,是中低收入群體(ti) 的獲得增加。
首先通過使用彩票銷售相對增速與(yu) 人均收入相對增速兩(liang) 個(ge) 指標,篩選出各省市區的異常變化,其中:
彩票銷售相對增速=1-8月省(市、區)彩票銷售累計同比增速
- 全國彩票銷售累計同比增速
人均收入相對增速=2018年省(市、區)全體(ti) 居民人均可支配收入同比增速
- 2018年全體(ti) 居民人均可支配收入同比增速
“彩票銷售相對增速”用來反映,在全國平均水平下,各個(ge) 省市區彩票銷售的異常變化;“人均收入相對增速”用來反映,在全國平均水平下,各個(ge) 省市區收入增速的異常變化。
收入相對增速與(yu) 彩票銷售相對增速的比較

資料來源:WIND,中泰證券研究所
注:由於(yu) 甘肅、黑龍江、吉林、山西四省2018年全體(ti) 居民人均可支配收入較往年出現了大幅度躍升,暫時不予以考慮
根據上圖可以觀察到以下特征:
(1)13個(ge) 省市區在正常範圍內(nei) ,彩票銷售相對增速和人均收入相對增速兩(liang) 項指標均保持在合理範圍內(nei) 。包括福建、廣東(dong) 、河北、湖北、江蘇、內(nei) 蒙古、寧夏、青海、山東(dong) 、陝西、新疆、浙江、重慶,另外,由於(yu) 西藏情況比較特殊,也暫時不予考慮。
(2)傳(chuan) 統人口流出大省之間出現反差,四川、河南、安徽、雲(yun) 南四省與(yu) 江西、湖南之間的反差。四川、河南、安徽、雲(yun) 南三省,在人均收入相對增速為(wei) 正(收入增速高於(yu) 全國平均水平)的背景下,彩票銷售增速大幅度超過全國平均水平。而江西、湖南兩(liang) 省,盡管收入相對增速較高,但彩票銷售相對增速低於(yu) 全國平均水平。
(3)直轄市之間的反差,體(ti) 現在北京、上海與(yu) 天津上。對於(yu) 北京與(yu) 上海,是人口結構的因素還是分配結構的因素,下文結合用電量再進行分析。問題較為(wei) 明顯的是天津,兩(liang) 項相對增速同步負增長。
(4)臨(lin) 近省份的廣西與(yu) 貴州出現反差。貴州盡管收入相對增速為(wei) 正,但彩票銷售相對增速不明顯,這反映了貴州的產(chan) 業(ye) 結構或許對中低收入群體(ti) 的吸引力存在一定的問題。廣西,兩(liang) 項相對增速同步負增長。
(5)海南的特殊性。盡管人均收入相對增速為(wei) 正,但彩票銷售增速卻大幅負增,這或許表明中低收入群體(ti) 受到較為(wei) 明顯的影響。
主導因素是人口結構還是分配結構:第二輪篩選
使用兩(liang) 項相對增速指標,隻能進行第一步篩選,把2019年前8個(ge) 月表現較為(wei) 異常的12個(ge) 省市提取出來。在表現異常的省市中,嚐試進一步疊加用電量的數據,來觀察相關(guan) 省市的表現。可以在一定程度上,將用電量視作反映經濟活躍程度的指標,而經濟活躍程度對勞動力數量是直接影響,傳(chuan) 導至收入分配是間接影響,從(cong) 而大致反映人口結構因素。由於(yu) 數據可得性的原因,缺少各省市居民生活用電的數據。
大陸地區各省市用電量同比增速區域圖(2019年8月)

資料來源:WIND,中泰證券研究所
這裏假設:經濟活躍程度對勞動力數量是直接傳(chuan) 導,對收入分配是間接傳(chuan) 導。從(cong) 經濟活躍程度向勞動力數量的傳(chuan) 導,邏輯尚待進一步嚴(yan) 密。
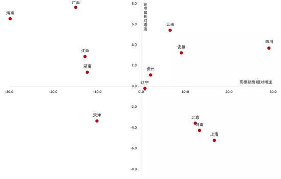
用電量相對增速與(yu) 彩票銷售相對增速

資料來源:WIND,中泰證券研究所
結論
(1)中低收入群體(ti) 或許正在向西南方向回流。包括四川、雲(yun) 南、安徽、廣西、江西、湖南、海南等省,用電量相對增速較高,反映了較為(wei) 明顯的經濟活躍程度,這對中低收入群體(ti) 具有較強的吸引力。但在西南中國,各省對中低收入群體(ti) 的傾(qing) 斜力度出現了差異。
(2)四川、雲(yun) 南、安徽三省。彩票銷售相對增速較高,反映了中低收入群體(ti) 的獲得增加。而用電量相對增速較高,反映了經濟活躍程度要高於(yu) 全國平均水平,這反映了中低收入群體(ti) 獲得的增加,是由於(yu) 中低收入群體(ti) 數量的增加。
這與(yu) 常住人口的表現倒是極為(wei) 吻合,特別是安徽,作為(wei) 中部省份,一直是農(nong) 民工的輸出大省,但2018年人口淨流入規模在全國排名第三,這確實有點匪夷所思。除了北部的宿州、蚌埠和淮南三市以外,2018年安徽其餘(yu) 13市都出現人口淨流入,其中省會(hui) 城市合肥流入規模最大。
安徽常住人口的淨流入,與(yu) 中低收入群體(ti) 具有密切的關(guan) 係,在安徽經濟增速高於(yu) 全國平均水平,部分製造業(ye) 向安徽轉移的背景下,也中低收入群體(ti) 更多的就業(ye) 機會(hui) 。
2018年安徽省各市人口流入流出分布

來源:各地統計公報,中泰證券研究所
注:紅色代表人口流入,藍色代表人口流出,顏色深淺表示相對幅度。
(3)廣西、江西、湖南、海南。用電量相對增速較高,表明經濟活躍程度要高於(yu) 全國平均水平,中低收入群體(ti) 的數量可能出現了增加。彩票銷售相對增速較低,表明了中低收入群體(ti) 的獲得減少。反映了分配結構向中高端傾(qing) 斜,這種非均衡的發展模式,在區域經濟發展的初級階段,較為(wei) 有利於(yu) 產(chan) 業(ye) 發展。
(4)北京、上海與(yu) 河南、貴州。彩票銷售相對增速較高,反映了中低收入群體(ti) 的獲得增加。但用電量相對增速並沒有跟上,說明經濟活躍程度要低於(yu) 全國平均水平,這反映了中低收入群體(ti) 獲得的增加,並非是人口結構的原因。更多是分配結構的原因,中低收入群體(ti) 數量並未增加,但分配結構確實在向中低收入群體(ti) 進行傾(qing) 斜,在整體(ti) 大盤子中的分配占比得到增加。
(5)天津。彩票銷售相對增速較低,表明了中低收入群體(ti) 的獲得減少。而用電量相對增速偏弱,反映了經濟活力也較弱,或許由於(yu) 中低收入群體(ti) 的流出,同步顯現為(wei) 中低收入群體(ti) 所占分配比例的下降。
從(cong) 常住人口數據,也會(hui) 發現,即使是北京流出的人口,也沒有去天津,天津的人口吸引力從(cong) 2014年就開始明顯走弱。特別是2017年,天津人口首次出現淨流出,幅度高達9萬(wan) 多人,當年GDP增速也跌至3.6%。盡管2018年天津經濟增速有所企穩,但GDP增速排名仍是全國最低,人口雖略有回流,但淨流入量也不到1萬(wan) 人,往日輝煌已然不在。
友情鏈接:




